推薦新聞
聯系我們
座機:027-87580888
手機:18971233215
傳真:027-87580883
郵箱:didareneng@163.com
地址: 武漢市洪山區魯磨路388號中國地質大學校內(武漢)
吉林省-
吉林省地熱資源分布規律
- 2021-10-26 吉林省 地熱資源分布規律
-
吉林省碳達峰:推廣干熱巖地熱采暖示范工程 積極開展地熱能開發利用
- 2022-08-09 吉林省碳達峰實施方案 干熱巖地熱采暖 地熱能開發利用 吉林省
-
吉林“十四五”:開展中深層地熱資源采暖示范
- 2022-08-31 吉林省 能源發展“十四五”規劃 清潔供暖 地熱能源 地熱供暖
-
吉林省地熱等可再生能源建筑利用最高獎補500萬
- 2022-09-20 吉林省 可再生能源建筑 地熱能熱泵技術 地熱能勘察評價報告
-
吉林:因地制宜使用地熱能供暖滿足建筑供熱、制冷及生活熱水
- 2022-11-08 吉林省 地熱能開發利用 深層地熱供暖 建筑供熱
-
吉林能源“十四五”:全面推進地熱等可再生能源利用
- 2022-11-17 吉林省 新能源 可再生能源 “十四五” 地熱能 地熱資源
-
吉林新能源:有序擴大地熱供暖利用比例 開展地熱溫室種植
- 2023-01-10 吉林省 地熱能供熱(制冷) 地熱溫室種植 中深層地熱資源 土壤源熱泵
-
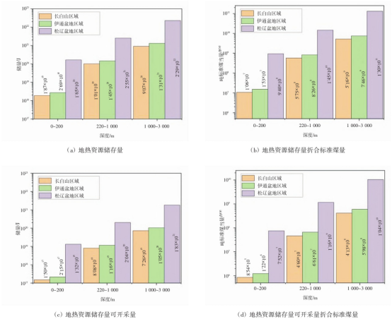
吉林省中深層地熱能供暖資源量評估研究及資源評價分析
- 2023-02-10 吉林省 中深層地熱能供暖 資源量評估 資源評價
-
吉林省明確了“十四五”時期地熱資源勘查開發的目標和任務
- 2023-05-10 吉林省 地熱資源勘查 “十四五” 地熱資源 地熱能+
-
項目總投資17億元!吉林省加快推進“全域地熱三峽” 打造國家級新能源生產基地
- 2024-05-28 吉林省 全域地熱三峽 新能源 地熱能








